招商银行薪酬交易流水(工行app打印流水账单)2025年11月精选新闻
招商银行薪酬交易流水(工行app打印流水账单)
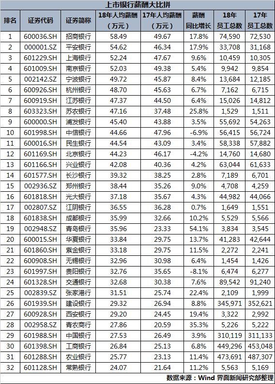
【“薪酬之王”#招商银行也开始降工资了# 】“零售之王”的基本盘,正在经历一场微妙的变化。2025年前三季度,招商银行的营业收入为2514.20亿元,同比下降0.51%;归母净利润为1137.72亿元,同比微增0.52%。 截至2025年9月30日,招行的公司贷款较2024年末增长10.01%;零售贷款较2024年末仅增长1.43%,其中零售贷款不良贷款余额首次突破380亿元,不良率为1.05%,较2024年末增加0.09个百分点。 员工薪资待遇方面,截至2025年9月30日,招行的员工费用为495.59亿元,虽然同比增长0.40%,但若以截至6月末招行员工118068人(含派遣人员)计算,平均月薪为4.66万元,相较上半年的平均月薪5.01万元有所下降。 营收下降、零售贷款不良增长、股价不温不火、员工薪资待遇下滑,在银行业整体业绩增速放缓、经营压力加大的背景下,即便强如招行,日子也并不好过。“薪酬之王”招商银行也开始降工资了
📢 招商永隆信息技术2026届校园招聘正式启动!🚀我们是谁? 招商永隆信息技术(深圳)有限公司,是招商银行下属招商永隆银行的全资附属子公司。前身为软件开发中心,深耕金融科技十余年,于2023年5月正式转型成立。我们依托招商银行强大资源,致力于打造“香港一流商业银行”的科技先锋,推动数字化转型与科技创新。💻 招聘岗位:• Java开发工程师• 前端开发工程师• AI开发工程师 • 软件测试工程师🎁 薪酬福利:• 极具竞争力的月度工资• 六险二金(补充商业险、企业年金)•10天带薪年假、生日假、司龄假• 多项补贴:用餐、交通、通讯、高温• 绩效奖金• 定制化培训体系 + 导师1v1辅导• 专业与管理双通道发展路径📍 工作地点:深圳市龙岗区平湖街道招商银行金融创新大厦✨ 准备好和我们一起,在金融科技的赛道上永往新程,点亮未来了吗?期待你的加入,让我们并肩,把技术理想变成现实!📧点击链接,即刻投递简历:网页链接
整个故事串起来就是:一群为招行奉献了一辈子的老将,在职业生涯的末期,面临着薪酬缩水和时代变迁的双重压力。他们想体面地把权杖交出去,但身后没有足够分量的年轻人能立刻接住。而所谓的年轻后备军,那些75后、80后,正卡在不上不下的位置,眼巴巴地望着那几个有限的坑,一边计算着自己的年龄,一边祈祷前面的老大哥能早点“因工作原因”挪一挪。这就是大公司的现实。它不是热血漫画,没有主角光环,没有一路逆袭。它更像一部沉重的历史剧,每个人都是时代齿轮上的一环,被巨大的惯性推着往前走。你想快,快不起来;你想停,也停不下来。
据悉,美国参议院宣布,已批准终止总统为实施全球关税而宣布的国家紧急状态的联合决议。本周早些时候,参议院已通过两项决议,旨在取消对加拿大和巴西征收的关税。5、世界黄金协会披露的最新数据显示,三季度全球黄金需求总量达1313吨,创单季度黄金需求最高纪录。全球央行依然加快了购金步伐,三季度净购金量总计220吨,较二季度增长28%,较上年同比增长10%。从前三季度整体上看,全球央行净购金总量达634吨,仍显著高于2022年之前的平均水平。世界黄金协会认为,四季度金饰消费或迎来传统的季节性改善。股市动态1、10月30日,南向资金净买入约136.41亿港元。盈富基金、阿里巴巴分别获净买入约46.33亿港元、8.76亿港元;中兴通讯遭净卖出3.24亿港元。港交所披露,贝莱德在美的集团H股的持股比例于10月24日从4.26%升至5.92%。中国平安人寿保险股份有限公司在招商银行H股的持股比例于从17.87%升至18.02%。2、A股于10月29日融资融券余额正式突破2.5万亿元关口。自今年8月5日首次站上2万亿元台阶后,A股两融余额已实现连续56个交易日站稳这一关键水平,打破了2015年市场曾创下的连续30个交易日突破2万亿的历史纪录。从9月初的2.1万亿左右逐步攀升至如今的2.5万亿,期间未出现显著回调,日均增幅稳定在数十亿元级别。3、10月30日,工、农、中、建、交、邮储银行等六大国有行披露了三季报。工行第三季度归母净利润1018.05亿元,同比增长3.29%。农行第三季度归母净利润为813.49亿元,同比增长3.66%。中行第三季度归母净利润600.69亿元,同比增长5.09%。建行第三季度净利润为958.08亿元,同比增长4.06%。交行第三季度归母净利润239.78亿元,同比增长2.46%。邮储银行第三季度归母净利润765.62亿元,
无债之日,心有归处周三下午的写字楼茶水间,咖啡机的嗡鸣突然被一阵此起彼伏的惊呼声盖过。“快看银行推送!所有信用卡欠款全免了?!”苏晴刚端起保温杯,手指就被手机屏幕上的红色公告刺了眼——工农中建、平安、招商等数十家银行联合官宣:即日起免除境内所有信用卡未还款项,包括本金、利息及违约金,后续额度内消费终身免还,无任何附加条件。她的心脏猛地一跳,指尖颤抖着点开信用卡APP。曾经压得她喘不过气的五万欠款,是去年父亲手术时应急刷的,这大半年她省吃俭用,每月工资大半都用来还账单,连件新衣服都没敢买。而此刻,账单页面赫然显示“欠款已结清”,那串刺眼的数字消失得无影无踪。眼泪毫无预兆地涌了上来。苏晴捂着嘴,怕哭出声,却见对面工位的老周已经红了眼眶。老周是出了名的“老赖”,不是不想还,是创业失败后欠了二十多万,催收电话从早到晚,家里的窗户都被喷过油漆,这几年他活得像只惊弓之鸟,头发白了大半。“真的……清了?”老周反复刷新APP,声音哽咽,“我女儿的学费,终于能安心交了。”办公室里没有想象中的狂欢,没人喊着“买买买”,反而出奇地安静了几秒。有人默默给家人发消息报平安,有人对着账单截图发呆,还有人像苏晴一样,悄悄抹着眼泪——那是卸下千斤重担后的释然,而非急于挥霍的狂热。苏晴想起前几天刷到的文章,说突然有钱最该做的是稳住节奏,她深吸一口气,关掉了购物软件。她没有立刻去报复性消费,而是给父亲转了两千块生活费,又往储蓄账户存了一笔钱。晚上下班,她只是买了一斤父亲爱吃的草莓,做了一顿热饭,一家人坐在餐桌前,久违地聊到了深夜,没有催款电话的打断,
体现了民营资本与央企资源的结合。1.2 实际控制人曾智斌的商业背景曾智斌,1974年10月出生,现年51岁,拥有丰富的企业管理经验和深厚的产业背景:任职经历:• 历任武警江西省边防总队参谋、江西省对外联络办公室干部• 曾任江西省鄱湖低碳环保股份有限公司董事长• 曾任宏发股份董事、江西银行董事、赣商联合股份有限公司董事• 曾任江西省电子集团有限公司董事• 现任联创光电(600363)董事长(2016年2月至今)• 现任厦门宏发电声股份有限公司董事、厦门华联电子股份有限公司董事、北方联创通信有限公司董事个人资产状况:根据2023年11月6日如通股份对上交所监管工作函的回复,曾智斌的资产构成包括:• 持有联创光电0.93%股份,按当时股价计算价值约1.36亿元• 在深圳、海口、南昌等地拥有7套房产,价值约4400万元• 持有6家公司股权,参考价值合计7270.48万元• 近5年从联创光电获得薪酬合计1102.59万元曾智斌曾获得"南昌市优秀企业家"、"江西省优秀企业家"、"新时代江西省杰出企业家"等荣誉称号,是江西省工商联常务委员,在江西商界具有重要影响力。1.3 中国电子产业集团的资源支撑上海熙诗供应链科技中心(有限合伙)作为汉谊科技的第二大股东,其背后是央企中国电子产业集团(CEC)。根据披露信息,上海熙诗是中电集团旗下的园区投资主体之一,主要负责为中电集团旗下相关园区寻找合适产业主体,开展产业投资及园区招商引资工作。中电集团的实力背景:• 成立于1989年5月,是我国民族电子工业的"摇篮"• 中央直接管理的以网信事业为核心主业的中央企业• 旗下拥有上海贝岭等20家上市公司•
#校招offer咨询# 投稿:砖砖你好,我想咨询一下社招offer,让大家帮我看看提一下意见。背景:之前某股份行特等行中台,4年工作经历。目前的offer:①某股份行总行(深圳)②某寿险总部(深圳)①②是同一个集团的,大家应该可以猜到~岗位:都是中台的业务推动岗,基本做的事情是差不多的。薪酬待遇:两个offer基本持平,总行福利会好一些。个人:更追求节奏,未来重心可能会向家庭偏移,所以想要更平衡一点。也看成长性,之前觉得银行业务不是很聚焦(保险基金啥都要搞),目前因为①刚架构调整,可能机会会多一些。想听听大家的意见。【回复】:社招跳槽主要看核心诉求是啥,是级别,待遇还是wlb等等,总归是有自己的考量的,然后看社招的offer能不能满足你的个人诉求;1、从平台和职业延续性来说,肯定是银行业务延续性会更好,跟过往经历匹配度也会更好;银行业务比保险肯定要更好,不然你看大家都更喜欢去银行总行分行之类的,对保险就没有那么感冒,银行业务适配性和未来岗位的选择性比保险要好;待遇弹性包括未来跳槽去大行省分或者招行这类的选择可能选择面会更广;银行那边听说上海的这边总部的人基本都过去了,估计架构啥的都在调整,看看是不是在比较核心的部门或者领导下面干活,估计也会比较忙,不确定是否满足你后续重心向家庭偏移的诉求;2、保险那边是他们的强项,细分领域比较聚焦,后面如果社招机会的大概率是保险行业领域,选择面相对会窄点,收入弹性估计要弱点,整体风格估计比银行市场竞争要稍微好点,他家在细分领域的江湖地位比银行要高不少;虽然他们整体风格属于狼性的氛围,估计比银行考核和KPI之类的要友好点;
页面下方是[打印银行流水]小编根据你关注的话题【招商银行薪酬交易流水】帮你整理出来的相关图像素材(不可商用)、视频资料(版权归原作者)、站内相关图文等结果,这些内容都可以帮助你更好的了解【招商银行薪酬交易流水】。另外,我们也帮你整理出了跟关键词:招商银行薪酬交易流水 高度相关的词汇和长尾关键词,还有一些站内经常出现的高频关键词,希望你能对这些内容感兴趣。如果你希望别人在搜索引擎中查询关键词【招商银行薪酬交易流水】或者在GPT类的AI问答中提到【招商银行薪酬交易流水】的时候,能够看到你的网页、品牌或联系方式,建议你了解一下网站SEO优化服务和关键词GEO内容优化服务,目前打印银行流水已经和国内知名的SEO技术顾问、专业的GEO技术顾问合作,为大家免费解答SEO/GEO专业问题,技术顾问微信:seo5951
【版权声明】内容转摘请注明来源:https://jlych.cn/tags/post/%E6%8B%9B%E5%95%86%E9%93%B6%E8%A1%8C%E8%96%AA%E9%85%AC%E4%BA%A4%E6%98%93%E6%B5%81%E6%B0%B4.html 本文标题:《招商银行薪酬交易流水(工行app打印流水账单)2025年11月精选新闻》
【权限声明】为了在不同的设备环境下更好的展现内容,网站需获取设备IP及设备UA信息。
设备IP:18.97.14.91
设备UA:CCBot/2.0 (https://commoncrawl.org/faq/)
农业银行流水打印工资流水和银行流水英文的银行流水单银行流水申请信用卡查询银行流水账银行流水套利银行打流水账单吗银行流水的借和贷买银行流水银行流水打印多长时间银行不是本人可以查流水吗银行流水假的银行流水账单怎么打假贵阳 买房 银行流水银行流水发票银行英文流水中国银行流水黑章飞雪银行流水 破解银行贷款没有流水账银行流水数字字体银行转账流水建设银行app怎么查流水哪里制作假银行流水银行当天流水银行流水 只打收入银行流水保存多长时间银行流水怎么看的代刷银行流水银行流水少可以贷款吗银行卡的流水账银行流水ps银行周六可以打流水吗哪里能做银行流水房贷银行流水要看余额打印银行卡流水账需要本人吗有借条有银行流水银行流水打印银行贷款怎么做流水银行流水 支付宝转账银行打卡工资流水银行流水和对账单区别别人能查银行流水吗银行流水余额什么意思银行流水打印工资招商银行流水贷银行卡流水账单怎么看建设银行流水账查询怎么去银行打流水账单提供银行流水给警方银行回单流水号是银行流水 翻译中信银行违规泄露客户流水银行打流水账农业银行流水账单查询银行卡流水明细银行受理流水号银行流水账单 盖章民生银行 流水贷贷款审批 银行流水买房子用银行流水银行流水信用卡怎样刷银行流水银行查流水需要密码工商银行流水贷款银行流水帐怎么提供银行流水车贷 银行流水贷款买房银行流水账买房银行的流水怎么做银行流水从哪打银行流水单英文流水 银行个人银行假流水银行流水账单翻译近一年的银行流水怎样打印银行流水怎么办假的银行流水银行对公流水账银行流水在哪个银行打银行流水账单作假查询银行流水存钱中介做银行流水多少钱银行卡流水模板银行卡打印流水单房贷贷款银行流水明细担保人银行流水账银行贷款看流水是指怎样在银行查流水账银行流水咋对银行流水怎么刷银行流水保存时间银行流水总额银行流水打印系统税务查银行流水银行可以查几年的流水办银行流水多少钱天降百亿银行流水好的银行流水银行卡刷流水犯法吗没上班银行半年流水银行流水大了会怎么样房贷需要多少银行流水银行流水多长时间成都银行流水贷款抵押贷款银行流水要求银行流水怎么打招商银行怎么流水pos流水贷款 银行期限中国银行流水打印银行专业流水廉租房 银行流水银行流水过夜打印银行流水软件房贷的银行的流水要求车贷银行流水账日本留学签证银行流水银行流水与资产证明上海做银行流水多少钱银行流水自己刷怎么查银行流水买房贷款要银行流水吗农业银行流水单银行流水可以贷多少买房银行流水不够何为银行流水银行贷款流水怎么办银行流水公证银行交易流水怎么查询银行卡流水账工商银行刷银行流水房贷银行流水的要求按揭银行流水多久手机怎么查银行流水建设银行流水账单怎么打银行可以查几年的流水银行流水反应什么签证 假银行流水房贷审核银行流水银行不是本人可以查流水吗银行能打几年的流水购房银行流水不够银行卡流水账有什么用去银行打流水账单需要带什么没卡打银行流水吗转账可以当银行流水吗记账银行流水银行流水最多可以打几年网上银行流水银行查流水需要密码异地银行卡打流水银行卡打印流水单有借条没有银行流水招行手机银行查流水号代办银行流水可靠吗有身份证能查别人银行流水吗企业银行流水单工商银行流水真假银行流水单图片银行流水多少可以贷款银行流水过夜用别人的银行流水吗加拿大签证银行流水单制作银行流水招商银行流水备注飞雪银行流水软件银行流水中断供车银行流水银行打流水怎么打印济南代办银行流水银行流水建行网银银行流水账单银行流水十万银行流水计算公式签证需要银行流水银行流水什么样公司银行流水账经侦大队查银行流水韩国签证银行流水单自己如何打印银行流水银行打工资流水已经注销的银行卡能打流水吗e租宝银行流水银行工资流水账单怎么打公司流水银行流水区别银行流水修改怎么刷银行流水账银行流水用什么打印机银行打印流水收费吗银行流水黑色章查询银行流水打印银行流水申请房贷银行流水重要吗银行可以拉几年的流水如何查银行卡流水手机上怎么查银行流水做个银行流水要多少钱手机银行可以打流水吗日本自由行银行流水房贷没有银行流水怎么办
招商银行薪酬交易流水最新视频
怎么打印带公章的银行工资流水哔哩哔哩bilibili【点击观看】
银行工资流水是什么意思哔哩哔哩bilibili【点击观看】
谈谈新公司入职需要提供银行工资流水怎么处理哔哩哔哩bilibili【点击观看】
银行员工到手的绩效工资或许会被追回招商银行近两年向员工追薪1亿多元多家银行披露向员工反向追薪数据反向追薪招商银行银行人抖音小【点击观看】
招行人均年薪降至61万250万银行人薪酬公布招行平均月薪下降仍有55万元250万银行人薪酬公布社会热门抖音【点击观看】
招商银行严控薪酬管理近两年追回员工不当所得超亿元彰显合规决心【点击观看】
招行人均年薪曝光银行业薪酬差异及性别问题引关注【点击观看】
招商银行近两年向员工追薪1亿多元业内人士促使银行高管审慎履职【点击观看】
招商银行U盾流水下载机器人哔哩哔哩bilibili【点击观看】
招商银行薪酬交易流水最新素材
随机内容推荐
买房银行怎么看流水可以用银行卡副卡打流水吗诸暨农商银行app流水银行账户注销流水保存几年银行看了征信流水说没问题买广汽本田贷款要银行流水柬埔寨可以拉国内银行流水吗银行贷款流水断了怎么办农业银行资料怎么打印流水出国旅游银行假流水银行流水业务验证码是什么银行流水量是指什么时候房贷时的银行流水怎么打印银行流水出现翼支付邮政银行流水是什么字体银行流水去什么地方开中国银行流水会不会打印出错公司叫提供银行流水2020年个人流水银行规定招商银行查询银行收入流水谈薪酬没有银行流水银行流水需在制卡本地查吗去银行打流水别人能帮忙吗造假银行流水可以贷吗银行卡软件上的电子流水农业银行流水怎么打银行卡流水是指付款还是收款办房贷款银行流水不够房子贷款需要几个月的银行流水银行流水从哪可以打银行流水账单多久生效本地没有银行分行怎么打流水银行借记卡能打流水吗北京银行app查询交易流水号p2p报案银行流水必须全工商银行怎么把流水发到邮箱税务的人清不清楚公户银行流水银行流水够但是有信用贷款银行卡流水自己怎么查询建设银行流水不显示对方户名如何去银行打印三天流水银行流水单需要多久有效银行流水不能直接求和公司银行流水股东是否查阅主城哪里可以打银行流水特困户对银行卡流水要求中国银行怎么在app查流水买房按揭银行流水要多长时间银行半年流水可以网上打印吗银行要每笔交易流水证明银行流水账会计分录中行的银行手续费流水怎么查网上制作假银行流水犯法吗柬埔寨可以拉国内银行流水吗银行流水需要盖章了吗房子一拆二拆需要银行流水吗按揭买房银行流水时间6邮储银行流水模板怎么存现金银行流水有用吗税务稽查能查银行流水吗银行员工流水自查说明银行流水代打务委托书范本恒丰银行非工作时间打印流水哪里能开银行流水证明银行流水能查到电子现金吗买房银行流水需要几个月如何手机查邮政银行卡流水邮政银行年度流水怎么查金融平台银行流水查询银行个人资金流水保存几年中原银行卡怎么查流水工商银行私自查我流水银行流水要月月有进出吗去银行查流水都需要带什么做假的银行流水要钱吗银行流水号什么用开银行流水需要哪些东西办房贷的银行流水可以保存几天英国签证 银行流水大额本年度银行流水复印件银行流水近半年比较低湖北银行银行流水微信支付宝能打银行流水吗装修贷需要多久的银行流水推广银行卡流水怎么写调取银行流水材料怎么写多少薪资银行流水银行流水怎么到9000银行让开流水证明招商银行都可以打流水吗信用卡提额财产银行流水银行流水清单怎么装订招商银行流水通知取款每年银行流水上亿离婚银行流水会查吗公共租赁住房会查银行流水吗去银行拉一年的流水P2P没有银行卡流水银行能自己打流水吗公司让员工打银行流水中国银行信用卡提额流水银行工资流水账生成银行流水明细情况说明银行流水网上银行可以查吗工商银行打印还款流水怎么才能查出个人银行流水邮政银行有自助打流水公司农业银行流水账单怎么打印银行流水怎样的才有用吗新入职的企业要求提供银行流水银行流水AK是什么意思劳动仲裁打印银行流水盖公章公司司法查询银行流水是怎么回事农业银行6个月的银行流水工商银行流水打印用纸农业银行app流水怎么查询办信用卡怎样做银行卡流水成为公司法人要查银行流水吗银行流水能否在网上打流水不正常银行卡被冻结了贷款111万银行流水需要多少入职为什么银行流水银行工资卡的银行流水建设银行对公流水打印银行工资流水好做吗太原哪个银行不卡流水做银行假流水要判几年广发银行怎么查询一年前流水银行流水随便打的吗惠州买房有效银行流水可以帮别人去银行拉流水吗四川成都招商银行流水模板签证银行卡流水要求银行卡流水大会不会被断卡房子有贷款银行流水怎么查去年银行卡流水机器上拉流水要银行卡吗流水模版建设银行农商银行手机怎么打印流水建行银行打流水账单结婚要求男方提供银行流水一般打银行流水打多久的房贷的银行流水单可以打印几年的光大银行贷款流水怎么打印代查银行流水账银行流水单要本人吗贷款多少要银行卡流水存钱银行流水可以打印吗贷款买房流水银行查不查旅行社让我打两份银行流水银行卡流水少咋申请房贷玩币需要银行卡走流水中信银行打印你的流水银行流水是不是工资卡税后收入浦发银行打信用卡流水买房银行流水造假花钱吗父母银行卡没流水怎么办车贷天津律师调查令调查银行流水工资卡中途换了银行流水电脑建设银行流水怎么导出来别人借我银行卡说做流水走账在柜台银行可以打多少年的流水招商银行异地打流水银行打流水能查到一存款吗去银行打流水账单需农业银行怎么拉对公流水微信本人怎么能银行流水记录银行流水章是电子印章吗签证必须要银行流水吗一年银行流水要打印多久个人银行卡怎么拉流水账首套房付一半还要银行流水吗银行流水账单没卡怎么打印银行流水无法求和怎么打印公司银行流水账银行的流水单时效有多久银行流水要做分录房贷款的银行流水房贷 什么样的银行流水够去哪里打印银行流水账单银行流水一般是贷款额度多少工资流水要去银行银行卡流水夫妻可以查吗银行流水账和回单中国建设银行的流水明细什么样审计查企业银行流水一年一千万的银行流水被捡银行流水账可以代办拿吗银行卡能不能打往年的流水银行流水单子免费打吗转账后回单上哪个是银行流水号重庆农商银行怎么查流水银行走流水时间银行流水大了会影响办签证吗销户后银行流水能查吗银行没有工资流水怎么办怎么打印工商银行流水建设银行怎么导出银行流水入职要半年银行流水手机银行上的流水能打印吗
招商银行薪酬交易流水相关资源
今日热点推荐
庞众望回应女友发布结婚登记照陈震闪灵平凡的劳动者凭什么火出圈久哲谈清清转辅威廉王子说3个孩子都没有配手机景德镇文旅证实鸡排哥计划8日休息罗意威2026春夏女装秀梨形瘦22斤的杀伤力骨相美 皮相美清清赛后发博回应转辅全球人民都知道我们放假了黄磊首次回应未熟豆角食物中毒争议成毅摔倒了陈小春更新两个儿子近照能不能禁止日本人画中华风忘崽留奶微信式恋爱罗意威大秀树莓 摄哥伯远00后学霸刷飞猪图鉴做旅行计划霉霉开撕查理17岁女孩通宵熬夜致双肺全白林诗栋赛后生气了鸡排哥称还没赚到1个亿王逗逗婚礼伊朗总统称伊朗别无选择必须迁都沈佳润英语口语水平阿那亚偶遇杨洋了陈幸同vs朱雨玲艺人坐地起价争议关键在合同合意迪丽热巴真的美成公主了王一博罗意威巴黎大秀造型95花还能大洗牌吗孙颖莎滑倒酒果然是最快的交通工具肖战包场毕正明的证明王一博惠英红陈都灵秀场造型美国载近2000人豪华邮轮暴发病毒疫情迅猛龙对自己的体重要求是80斤拍照到一半偶遇章若楠李承铉这段舞蹈报备戚薇了吗姜潮单方面官宣被麦迪娜公司婉拒了惠英红陈都灵秀场热聊辛芷蕾新发型皮质醇过高六大表现孙颖莎小小的身躯大大的能量白鹿一直用手护着腰猫咪都看不下去躺一天的主人了中芯国际再度高开女子32楼家爬满隐翅虫喷了4瓶杀虫剂







































